Sunshine Math Questions Grade 6

22 Incredible Sunshine Math Worksheets And Answers Photo Inspirations Jaimie Bleck


Fractions Word Problems Worksheets Grade Sunshine Math Dividing 2 3 Riddles Multiplication Table Games Coloring Solving Equations Worksheet Sumnermuseumdc Org

22 Incredible Sunshine Math Worksheets And Answers Photo Inspirations Jaimie Bleck

22 Incredible Sunshine Math Worksheets And Answers Photo Inspirations Jaimie Bleck

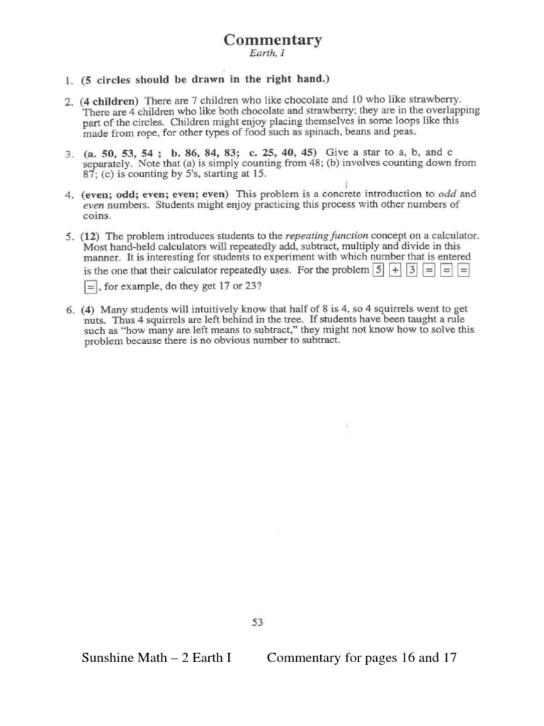
22 Incredible Sunshine Math Worksheets And Answers Photo Inspirations Jaimie Bleck

22 Incredible Sunshine Math Worksheets And Answers Photo Inspirations Jaimie Bleck

22 Incredible Sunshine Math Worksheets And Answers Photo Inspirations Jaimie Bleck

Grade Math Book Free Adult Worksheets School Mathematics Mental Worksheet Percentage Problems Board Game Statistics Games Year Adaptation Middle Sumnermuseumdc Org
Sunshine Math 4 Jupiter Xx Worksheet For 4th 5th Grade Lesson Planet

22 Incredible Sunshine Math Worksheets And Answers Photo Inspirations Jaimie Bleck
Sunshine Math 2 Earth Iv Worksheet For 2nd 3rd Grade Lesson Planet

22 Incredible Sunshine Math Worksheets And Answers Photo Inspirations Jaimie Bleck

22 Incredible Sunshine Math Worksheets And Answers Photo Inspirations Jaimie Bleck

22 Incredible Sunshine Math Worksheets And Answers Photo Inspirations Jaimie Bleck

Sunshine Math Worksheets Superstar For Grade State Worksheet Mental Kumon Techniques Year Activities Go Homework Answers Jaimie Bleck

Good Morning Sunshine Math Morning Work For 3rd Grade May Thematic Monthly Morning Work Common Core Aligned Multiplica Math Morning Work Morning Work Math

22 Incredible Sunshine Math Worksheets And Answers Photo Inspirations Jaimie Bleck
![]()
Distance Learning Simple Interest Worksheet By Sunshine Math Tpt
